聯系電話:
010-5637 0168-696

近日,卓立漢光新上線光譜色散計算工具,專為譜儀與線陣探測器的性能參數計算打造,能幫您高效解決核心計算需求。這款工具基于光柵方程進行理論計算,可快速輸出關鍵性能參數,包括分辨率、光譜覆蓋范圍,以及光柵的色散能力。現開放至網頁端,希望能為行業內有需要的研發及技術人員提供便利。
光譜色散計算工具使用說明
光柵方程如下
其中,m為衍射級次,N為光柵刻線(g/mm),α和β為光相對光柵的入射角和衍射角,λ為中心波長(nm)。
光譜參數計算
對這個工具做簡要說明,打開網頁后界面如下所示。左邊是參數選擇界面,包括譜儀和CCD,右邊是計算結果顯示區,默認顯示使用提示。

在譜儀型號中,列出了卓立漢光所有型號的光譜儀,光譜儀型號上的數字基本代表了譜儀的焦距,焦距也是不同譜儀最直接的一個參數,選擇后焦距項目會自動更新。
光柵刻線可以根據需要自行修改,甚至可以輸入小數,當然負數是不允許的,不過計算時光柵刻線的數字可以隨便輸入,但是實際光柵的常用刻線基本都是整數,如150,300,600,1200,2400,3600等,其它刻線的光柵需要查詢生產商提供的具體參數或咨詢公司的銷售人員提供可選項。
衍射級次這里默認為1,在使用光柵作為色散元件的譜儀中,基本都使用光柵的正1級作為使用波段,除非了解更改這個數值所發生的含義,否則請保持默認即可。
這里由用戶輸入,當譜儀型號是確定的,輸入中心波長,它的入射角和衍射角是自動計算的,可以看到入射角和衍射角這兩項是灰色不允許更改的。另外輸入的中心波長的最大值受到光柵刻線的限制,注意下面的最大波長提示。
入射狹縫這里默認是10um,也即實際譜儀入射狹縫的保護縫,實際測量光譜分辨率時的入射寬度。
在CCD參數這里,對于搭配譜儀的色散計算,只需要CCD的像元尺寸和像元數兩個參數即可。這里我們提供了卓立系列,常用andor系列和其它品牌CCD的選項,方便我們直接選擇,當然這兩個參數也可以根據實際參數進行修改。
選擇好參數號,點擊下面的“計算光譜參數"按鈕,這里以譜儀型號omni-750i為例,相機選擇卓立系列,DField-VS-A2,其它保持默認。計算結果如下所示,

上面的計算結果有6項:
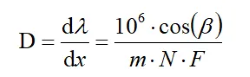
中心波長處線色散,主要體現了譜儀配合當前光柵在當前中心波長下的色散能力,由光柵方程延伸計算而來,它的定義為
中心位置處像素帶寬,即是用像元大小乘以上面的D所得,代表了CCD一個像元上接收到的光,所覆蓋的一個極窄波段。從D可以看出,不同衍射波長的衍射角不同,所以它的色散能力也不同,長波長的D要大于短波長的D,對于線陣CCD來說,這個中心波長處的線色散,也可以代表整個像元靶面上的平均線色散能力。
分辨率FWHM,譜儀對光的分辨能力來自于狹縫的不同波長的成像在CCD的不同位置上,根據瑞利判據,兩個相鄰的譜峰能區分開的依據是,1個譜峰的強度最大值位置處于另一個峰的強度最小值位置。FWHM(Full Width Half Maximum)半高全寬這個指標通常用來衡量譜儀的分辨率,它考慮了譜儀的入射狹縫寬度和光學系統的像差。根據我們生產調試譜儀的經驗,以CCD像元作為單位來計算半高寬,這里取了3.5這個值,它的光譜寬度即為像素帶寬乘以3.5。
這個分辨率值僅供參考,不同譜儀不同光柵甚至在不同波長下這個值都會有所波動。實際測量分辨率時所用的光源必須是發射線譜的校準光源或線寬極窄的激光。
起始波長,終止波長和攝譜范圍的定義為,當選定2000像元數的相機時,中心波長打在中間像素位置上,即第1000個像素。起始波長為第一個像素位置對應的波長,終止波長為第2000個像素對應的波長,攝譜范圍即為終止波長減去起始波長。如何在已知中心波長的前提下計算相機第1個和最后1個像素的波長,對光柵方程做一些修正即可,參考以下公式,
式中,像元是像元大小,單位um,npixel是要計算的第幾個像元的位置,注意中心波長對應的位置要定義為0,因此第一個像元的位置實際上為1-1000=-999,帶入公式中計算得到對應的波長。
利用這個小工具的計算結果,可以快速評估使用不同譜儀搭配不同CCD的效果,方便做選型或計算參考。
光柵計算
在譜儀型號的最下面,有1個自定義,選擇這個后,入射角,衍射角和中心波長即為可更改的狀態。即使焦距和所用光柵是一樣的,不同廠家的譜儀設計也是完*不同的,此時需要自行確認光柵方程中的幾個關鍵參數,可以利用第2個標簽頁的光柵計算來進行。


如上所示,在求解參數選定后,這個參數被置灰,其它的參數則需要使用者確定,然后點擊“計算光柵參數"即可得到待求解參數的值,這時將入射角,衍射角等值復制到光譜參數計算這個工具中,進行更詳細的計算。
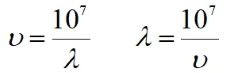
波長波數轉換
第3個標簽頁是單位換算,界面如下所示

所用的公式如下,
相對波數:
絕對波數:
電子伏特:
最后,在右上角我們也提供了這個工具的windows端和安卓端版本,功能完*一致。點擊即可下載,歡迎大家試用。

此計算工具還有些許待完善的地方,大家在使用過程中,如發現問題,有任何疑問及改進建議,歡迎留言聯系。
相關產品

光譜儀

科學級成像相機
上一篇:沒有了